Autoridades americanas recusam carta de crédito de banco brasileiro apresentada pelo ex-presidente da CBF para manter sua prisão domiciliar
Marin na chegada a Nova York: dificuldades para pagamentos (Foto: REUTERS/Lucas Jackson)
O ex-presidente da CBF José Maria Marin, de 83 anos, vai enfrentar nesta quarta-feira a primeira audiência de seu caso nos Estados Unidos. Marin é acusado de pedir, receber e dividir propinas pagas por agências de marketing esportivo interessadas em comprar direitos da Copa do Brasil, da Libertadores e da Copa América.
As autoridades americanas vão formalizar as acusações contra o ex-presidente da CBF e tentar torná-lo um colaborador - na prática, tentar fazer com que vire um delator. Até agora, José Maria Marin não entregou ninguém. O cartola alega ser inocente e não ter a quem ou o que entregar.
As autoridades americanas vão formalizar as acusações contra o ex-presidente da CBF e tentar torná-lo um colaborador - na prática, tentar fazer com que vire um delator. Até agora, José Maria Marin não entregou ninguém. O cartola alega ser inocente e não ter a quem ou o que entregar.
Marin chega fragilizado a essa audiência por causa da dificuldade que tem enfrentado para cumprir o acordo que fez com as autoridades americanas. Depois de passar 157 dias preso na Suíça, o brasileiro foi extraditado para os EUA em 3 de novembro. Naquele mesmo dia, fez um acordo com as autoridades americanas para poder esperar pelo julgamento em prisão domiciliar.
Para isso, aceitou oferecer US$ 15 milhões (R$ 58,5 milhões) em garantias e adiantar o pagamento de US$ 3 milhões - US$ 1 milhão (em dinheiro vivo e outros US$ 2 milhões por meio de uma carta de crédito. Desde a primeira semana nos EUA, a defesa de Marin pede mais prazo para pagar o que se comprometeu a pagar.
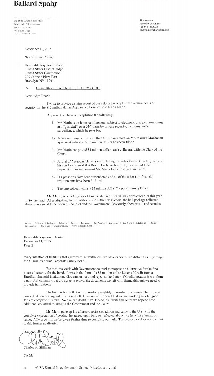
Carta da defesa de José Maria Marin à corte de Nova York: dificuldades no pagamento da fiança (Foto: Reprodução)
Na semana passada, seu advogado pediu mais prazo ao Tribunal Federal do Brooklyn para acertar o pagamento da parcela de US$ 2 milhões. Marin até conseguiu a carta de crédito, mas de um banco brasileiro, o que até agora não foi aceito pelas autoridades americanas. Ainda não houve resposta do juiz para o apelo feito pela defesa do cartola.
Antes de enfrentar esse problema, Marin também penou para fazer o depósito inicial de US$ 1 milhão em cash. A defesa do dirigente também fez vários pedidos de adiamento até conseguir pagar o que havia se comprometido. Se não conseguir a fiança, Marin perderia os benefícios da prisão domiciliar e pode ir para uma cadeia.
O GloboEsporte.com enviou uma série de perguntas sobre o caso para o Departamento de Justiça dos Estados Unidos, que se recusou a comentar o caso.

Nenhum comentário:
Postar um comentário